Foreclosure Deals in Uvalde, TX

Probates, Foreclosures, Auctions in Uvalde, TX

Send Contracts in seconds and follow up in thousands of properties

Graphic Bar of total deals, pre-foreclosure, probate, tax delinquent in Uvalde, TX

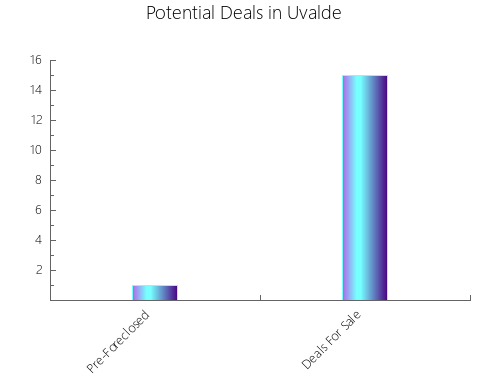
Pre-Foreclosed

1

Lis pendens has been filed (before auction).

Uvalde is ranked #1 in Texas

For Sale With Equity

14

Properties For Sale with at least 30% equity.

Uvalde is ranked #1 in Texas

Probate

0

The owner is deceased and the will is in process.

Uvalde is ranked #1 in Texas

Tax Delinquent

0

Tax have been delinquent for more than a year.

Uvalde is ranked #1 in Texas

Tired Landlords

0

Multi-unit owners who have more than four years in title.

Uvalde is ranked #1 in Texas

Short Sales

1

Upside-down property, where the debt is greater than the market value.

Uvalde is ranked #1 in Texas

Bank Owned

0

Property is no longer redeemable, the bank owns it.

Uvalde is ranked #1 in Texas

Auctions

0

Pre-foreclosed property that's going to auction in the next few months.

Uvalde is ranked #1 in Texas

Repairs For Sale

5

Properties for sale that need repairs.

Uvalde is ranked #1 in Texas

Vacant Property

0

Vacant and abandoned properties.

Uvalde is ranked #1 in Texas

Sold property

0

Properties sold last 12 months.

Uvalde is ranked #1 in Texas

For sale

0

Properties for sale.

Uvalde is ranked #1 in Texas

United States, Texas, Uvalde, Uvalde
Total Deals 21

Single family properties has decrease in value 0% since last year, from $0 to $0. The average time that a Single Family property takes to sale is about 0 days. The time that will take to sell the inventory is 0.00 months.


Condominium properties has decrease in value 0% since last year, from $0 to $0. The average time that a Condominium property takes to sale is about 0 days. The time that will take to sell the inventory is 0.00 months.