Find investor homes in 78801, TX

Public Record, Mortgage and Probates in 78801, TX

Follow Up in thousand of leads, and send contracts

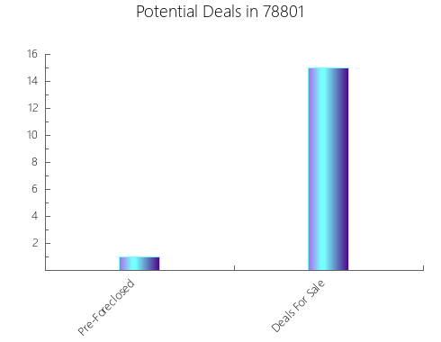
Graphic Bar of total deals, pre-foreclosure, probate, tax delinquent in 78801, TX

Pre-Foreclosed

1

Lis pendens has been filed (before auction).

78801 is ranked #1 in Texas

For Sale With Equity

15

Properties For Sale with at least 30% equity.

78801 is ranked #1 in Texas

Probate

0

The owner is deceased and the will is in process.

78801 is ranked #1 in Texas

Tax Delinquent

0

Tax have been delinquent for more than a year.

78801 is ranked #1 in Texas

Tired Landlords

0

Multi-unit owners who have more than four years in title.

78801 is ranked #1 in Texas

Short Sales

2

Upside-down property, where the debt is greater than the market value.

78801 is ranked #1 in Texas

Bank Owned

0

Property is no longer redeemable, the bank owns it.

78801 is ranked #1 in Texas

Auctions

0

Pre-foreclosed property that's going to auction in the next few months.

78801 is ranked #1 in Texas

Repairs For Sale

5

Properties for sale that need repairs.

78801 is ranked #1 in Texas

Vacant Property

0

Vacant and abandoned properties.

78801 is ranked #1 in Texas

Sold property

0

Properties sold last 12 months.

78801 is ranked #1 in Texas

For sale

0

Properties for sale.

78801 is ranked #1 in Texas

United States, Texas, Kinney, Uvalde, 78801
Total Deals 23

Single family properties has decrease in value 0% since last year, from $0 to $0. The average time that a Single Family property takes to sale is about 0 days. The time that will take to sell the inventory is 0.00 months.


Condominium properties has decrease in value 0% since last year, from $0 to $0. The average time that a Condominium property takes to sale is about 0 days. The time that will take to sell the inventory is 0.00 months.